安徽艾约塔硅油有限公司
网站首页
关于我们
产品中心
全部
氨基硅烷
乙烯基硅烷
烷基硅烷
环氧基硅烷
含氯硅烷
苯基硅烷
酰基硅烷
烷氧基硅烷
酮肟型有机硅交联剂
巯基硅烷
特殊硅烷
特殊硅油
酸型硅烷交联剂
α硅烷
资料下载
新闻资讯
公司新闻
行业动态
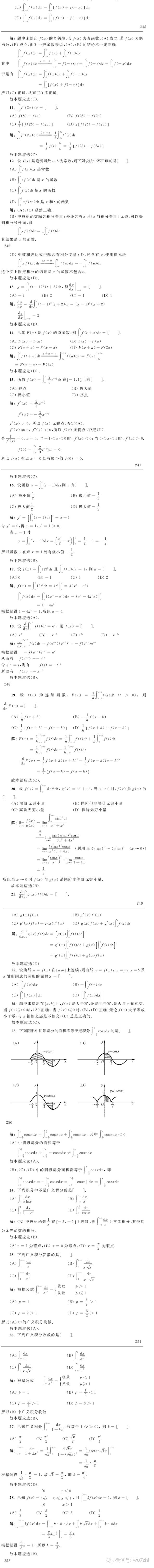
联系我们
English
网站首页
关于我们
产品中心
资料下载
新闻资讯
联系我们
您的位置:
网站首页
行业动态
经济应用数学基础微积分第三版赵树媛课后答案第五章
经济应用数学基础微积分第三版赵树媛课后答案第五章
阅读量:3862632
2019-10-28
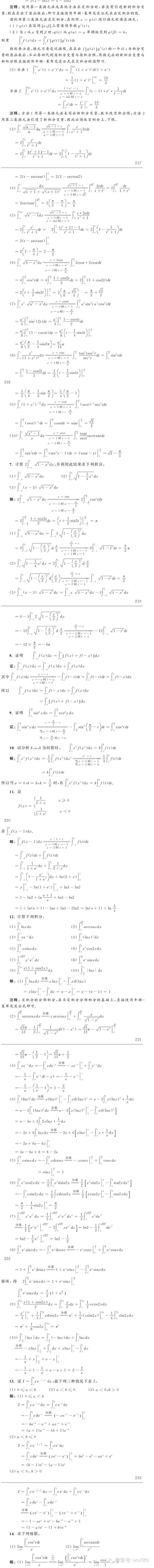
第5章 不定积分
第6章 定积分
上一篇:
经济应用数学基础微积分第三版赵树媛课后答案第三四章
下一篇:
估值暴跌千亿、创始人分走119亿,共享经济巨头泡沫破灭!
为您推荐
推荐 | 拥有一款足以让你自豪的跑车
宝马mini新造型,可爱车模气质甜美,牛仔短裤显身材
「 官方通知 」驾驶证不再是12分,车辆不再“年检”... 禹州车主赶快了解一下!
【实名曝光】非机动车逆行、不按规定车道行驶违法人员NO.77
车主注意:轮胎上出现这个千万别用手摸!
平潭一货车车厢载人被拍照举报 违法车牌同曝光并受处罚!
临清汽车站2019年11月2日开通教师资格证考场直通车啦
价值数亿的跑车齐聚上海 燃炸SCC极速赛道嘉年华
吉林市大爷客车耍酒疯 就不买票爱咋咋地 谁也别想走 !
老人故意划车,车主取视频为证仍难究其责任!应该怎样避免?
在线QQ咨询,点这里
QQ咨询
微信服务号